Здравствуйте, гость ( Вход | Регистрация )

46 страниц V  « < 37 38 39 40 41 > »   
Ответить в данную темуНачать новую тему
`Эфиродинамика` и другие `альтернативные` теории
kis.gr.enakievo
сообщение 17.2.2012, 10:03
Сообщение #761


Участник
**

Группа: Пользователи
Сообщений: 55
Регистрация: 4.1.2012
Пользователь №: 5685



Цитата(inflaton @ 16.2.2012, 23:56) *
Ну я даже не знаю. Возможно, вас интересует векторный анализ, я не знаю. Но вряд ли стоит изучать прям математический аппарат, думаю, достаточно в википедию глянуть.
Естественно, векторный... но и не только. Но и в википедию смотреть - пользы МАЛО... В данный момент интересует именно тот аппарат, который используется в электродинамике, а с википедией можно "улететь" в такие "математические дебри", которые к затронутому вопросу вовсе не имеют отношения...

Цитата(inflaton)
А к такой форме приходится переходить потому, что иначе не получается что-либо доказать. Аналогия -- понятие, как известно дурацкое. Что-то представить помогает, но дальше продвинуться не дает.
Однако сам Максвелл, математически обобщая результаты исследований электро-магнетизма своих предшественников, аналогиями пользовался вовсю, как, собственно, и Фарадей и пр...

Цитата(inflaton)
Так что, это не из-за какой-то особой злобы или чванливости происходит. Просто на вопросы, которые вы задаете (синфазность Е и Н) я по-другому ответить не могу.
Готов в это поверить. Но в то, что какому бы то ни было физическому явлению невозможно подобрать принципиально объяснимый образ, используя аналогии, - верить отказываюсь...

(кстати, уж отмечал как-то: Вы делаете "шаг вперед", пытаясь, помимо чистых формул, использовать в беседе аналогии. Только представление поля /или вакуума?/ в виде "решетки из грузиков и пружинок", на мой взгляд, аналогия неудачная...)

(Кстати, еще, насчет вращающегося по кругу маятника, который "закружил голову"... rolleyes.gif Ведь, действительно, если рассматривать это движение не только как движение массы под действием центростремительной силы, а как сложение двух колебаний, тогда "переход энергии" из колебательного движения в одной плоскости в точно такое же, но - в другой, перпендикулярной ей, плоскости, игнорировать не удастся. Только на этот раз это будет оставаться один и тот же вид энергии, кинетической...)

PS Не только я, оказывается, "инакомыслящий" в отношении "синфазности эл.магн. волны"... Вот, например, представление о волне, которому и я был до недавнего времени привержен:
http://www.youtube.com/watch?v=00Z5qW_0hBU
А оно, это представление, оказывается, наделяют "эпитетами" от "безграмотного" до "наивного"...
Пришлось набраться терпения, чтобы разобраться самому. Потому что Ваше утверждение: "разделение энергии на кинетическую, потенциальную и массу -- это фишка нерелятивистского подхода." не считаю достаточным основанием, чтобы отказаться от закона сохранения энергии, даже в релятивистских условиях...

А вот еще одно мнение некоего специалиста, утверждавшего, как и Вы, что синфазность вытекает из решения уравнений максвелла.
Цитата
если поле Е, изменяясь во времени, возбуждает в окружающем пространстве поле В, то, согласно закону сохранения энергии, поле Е должно передать свою энергию полю В.
Т.е. когда поле В проходит максимум, поле Е должно проходить через ноль, и наоборот.
Если учесть что максимальная энергия поля Е, согласно уравнениям Максвелла для электромагнитной волны, равна максимальной энергии поля В, то при Е = Емакс В=0, и при В=Вмакс Е=0.
Таким образом, мы видим, что согласно закону сохранения энергии, в электромагнитной волне (как и во всякой нормальной волне), Е и Н должны быть сдвинуты во времени на четверть периода.
Однако, из уравнений электродинамики следует, что в ЭМВ векторы В и Е синфазны, и энергия поля Е в любой момент времени в точности равна энергии поля В, что в корне противоречит закону сохранения энергии и физике распространения любых волновых процессов.
Фактически, из уравнений электродинамики следует, что в пространстве, непонятным образом движутся сгустки [В * Е], а не волны.
Естественен вопрос, так все-таки волны, или пулеметные очереди неизвестно чего?

и еще...
Цитата
Именно в синфазности и есть проблема.
Общеизвестно, что все реальные волновые процессы представляют собой непрерывное взаимопреобразование двух видов энергии.
Исключение составляют только теоретические ЭМВ Максвелла, в которых , самим названием, оглашено взаимопреобразование электрических и магнитных полей, а из уравнений следует отсутствие такового взаимопреобразования.
Но, если из уравнений электродинамики следует отсутствие взаимопреобразования энергий в ЭМВ то, что мы считаем по этим уравнениям?
Что это за объект "электромагнитные волны", который, согласно уравнениям электродинамики, распространяется в пространстве без взаимопреобразования энергий?
Как это может происходить?
То, что свет и радио сигнал имеют в свободном пространстве волновую природу, сомнений не вызывает.
То что при этом преобразовании энергий в волновых процессах, проиходит перенос энергии волной, тоже известный факт.
А вот, что нам предоставляет теория, в качестве инструмента для проектирования технических устройств, вызывает, мягко говоря, недоумение.
Эта тема, действительно, не нова.

Все это должно иметь какое-то объяснение. Где собака зарыта? Хочу составить свое мнение, но в уравнения максвелла еще не настолько "въехал", чтобы живо и наглядно интерпретировать все зависимости...

Сообщение отредактировал kis.gr.enakievo - 17.2.2012, 12:40
Перейти в начало страницы
 
+Цитировать сообщение
inflaton
сообщение 17.2.2012, 16:17
Сообщение #762


Активный участник
***

Группа: Пользователи
Сообщений: 669
Регистрация: 1.12.2010
Из: Казань, Лондон
Пользователь №: 2260



Цитата(kis.gr.enakievo @ 17.2.2012, 10:03) *
Естественно, векторный... но и не только. Но и в википедию смотреть - пользы МАЛО... В данный момент интересует именно тот аппарат, который используется в электродинамике, а с википедией можно "улететь" в такие "математические дебри", которые к затронутому вопросу вовсе не имеют отношения...

Однако сам Максвелл, математически обобщая результаты исследований электро-магнетизма своих предшественников, аналогиями пользовался вовсю, как, собственно, и Фарадей и пр...

Готов в это поверить. Но в то, что какому бы то ни было физическому явлению невозможно подобрать принципиально объяснимый образ, используя аналогии, - верить отказываюсь...

(кстати, уж отмечал как-то: Вы делаете "шаг вперед", пытаясь, помимо чистых формул, использовать в беседе аналогии. Только представление поля /или вакуума?/ в виде "решетки из грузиков и пружинок", на мой взгляд, аналогия неудачная...)

(Кстати, еще, насчет вращающегося по кругу маятника, который "закружил голову"... rolleyes.gif Ведь, действительно, если рассматривать это движение не только как движение массы под действием центростремительной силы, а как сложение двух колебаний, тогда "переход энергии" из колебательного движения в одной плоскости в точно такое же, но - в другой, перпендикулярной ей, плоскости, игнорировать не удастся. Только на этот раз это будет оставаться один и тот же вид энергии, кинетической...)

PS Не только я, оказывается, "инакомыслящий" в отношении "синфазности эл.магн. волны"... Вот, например, представление о волне, которому и я был до недавнего времени привержен:
http://www.youtube.com/watch?v=00Z5qW_0hBU
А оно, это представление, оказывается, наделяют "эпитетами" от "безграмотного" до "наивного"...
Пришлось набраться терпения, чтобы разобраться самому. Потому что Ваше утверждение: "разделение энергии на кинетическую, потенциальную и массу -- это фишка нерелятивистского подхода." не считаю достаточным основанием, чтобы отказаться от закона сохранения энергии, даже в релятивистских условиях...

А вот еще одно мнение некоего специалиста, утверждавшего, как и Вы, что синфазность вытекает из решения уравнений максвелла.

и еще...

Все это должно иметь какое-то объяснение. Где собака зарыта? Хочу составить свое мнение, но в уравнения максвелла еще не настолько "въехал", чтобы живо и наглядно интерпретировать все зависимости...


Ну что я могу сказать. Про вращающийся маятник -- браво! Здорово придумали.

Теперь про поле и колебания. Смотрите, что происходит. Берется аналогия -- колебание нерелятивистской упругой среды. Гладь воды, веревка, грузик. Замечается там перетекание энергии из одной формы в другую. Говорится, что то же самое должно быть в случае электродинамики.

Но!
1. Э/м волна не является волной в упругой среде.
2. Э/м волна является релятивистским объектом.

По-моему, этих двух моментов достаточно, чтобы усомниться в том, что данная аналогия тут работает.

Аналогия -- это сведение явления к бытовым представлениям. Совершенно необязательно, что любое явление сводится к бытовым представлениям.

По поводу синфазности. Здесь вам подойдет Савельев том 2 Электричество, глава Электромагнитные волны. Там очень хорошо написано, как получать волны. Также объясняется, почему должны быть равны фазы у Е и Н.

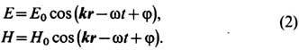
В комментариях к видео тоже возмущаются, что фазы не совпадают. На что автор приводит ссылку на физическую энциклопедию. Которая, что и неудивительно, подтверждает мои слова (формула 2).
Перейти в начало страницы
 
+Цитировать сообщение
kis.gr.enakievo
сообщение 19.2.2012, 18:31
Сообщение #763


Участник
**

Группа: Пользователи
Сообщений: 55
Регистрация: 4.1.2012
Пользователь №: 5685



Цитата(inflaton @ 17.2.2012, 17:17) *
Но!
1. Э/м волна не является волной в упругой среде. (согласен)

2. Э/м волна является релятивистским объектом. (согласен)


По-моему, этих двух моментов достаточно, чтобы усомниться в том, что данная аналогия тут работает.
(а здесь - вопрос... КАКАЯ аналогия "не работает"? У меня речь шла о законе сохранения энергии. В каждый момент времени... Это-то, что, в каких - то условиях и ситуациях "утрачивает смысл"? )


Аналогия -- это сведение явления к бытовым представлениям. Совершенно необязательно, что любое явление сводится к бытовым представлениям.
(закон сохранения энергии, это - "бытовое представление"?)

По поводу синфазности. Здесь вам подойдет Савельев том 2 Электричество, глава Электромагнитные волны. Там очень хорошо написано, как получать волны. Также объясняется, почему должны быть равны фазы у Е и Н.
(Вы знаете, мне, по-моему, удалось "откопать собаку"... ну, может, "хвостик от неё"... biggrin.gif В ближайшее время - поделюсь этим "хвостиком"... rolleyes.gif Забегая вперед, должен-таки заявить, что сдвиг фаз все же существует, и, надеюсь, приведу доказательства, с которыми согласитесь даже Вы... Но дело обстоит несколько сложнее, нежели это рисуется на графиках, как со сдвигом, так и без него. Оба не отражают действительность, которую можно было бы представить, не греша против логики...)

В комментариях к видео тоже возмущаются, что фазы не совпадают. На что автор приводит ссылку на физическую энциклопедию. Которая, что и неудивительно, подтверждает мои слова (формула 2).
(Кажется, я готов заявить, что эта самая "(формула 2)", т.е., что неверна по сути, если рассматривать эти две её части одномоментно /а это именно так, сама запись этих формул этого требует.../.)


Ну, теперь нужно выбрать время, чтобы спокойно и обстоятельно изложить соображения как можно проще и доступней. Ну, а потом можно будет и об "общефилософских проблемах" поговорить... blink.gif

Сообщение отредактировал kis.gr.enakievo - 19.2.2012, 19:25
Перейти в начало страницы
 
+Цитировать сообщение
kis.gr.enakievo
сообщение 19.2.2012, 19:36
Сообщение #764


Участник
**

Группа: Пользователи
Сообщений: 55
Регистрация: 4.1.2012
Пользователь №: 5685



Цитата(inflaton @ 17.2.2012, 17:17) *
1. Э/м волна не является волной в упругой среде.
А как же быть тогда с представлением о "поле-вакууме" как о "грузо-пружиночной решетке"? Зачем оно нужно? Не "подбрить" ли его "бритвой Оккама"?
Перейти в начало страницы
 
+Цитировать сообщение
inflaton
сообщение 19.2.2012, 20:35
Сообщение #765


Активный участник
***

Группа: Пользователи
Сообщений: 669
Регистрация: 1.12.2010
Из: Казань, Лондон
Пользователь №: 2260



Цитата(kis.gr.enakievo @ 19.2.2012, 20:36) *
А как же быть тогда с представлением о "поле-вакууме" как о "грузо-пружиночной решетке"? Зачем оно нужно? Не "подбрить" ли его "бритвой Оккама"?

Чтобы пудрить голову тем, кто не желает учить теорию поля.

А если серьезно, то модель квантовых осцилляторов точно описывает квантовое поле. Только вот понятий кинетической и потенциальной энергий тоже нет в квантовой механике. Есть полная энергия. А грузики-пружинки -- это классическое приближение. Которое оказывается только почти верным.

Чтобы правильно моделировать поле грузиками, нужно грузики друг к другу привязать пружинкой бесконечной жесткости, а к пространству -- пружинками нулевой жесткости (или наоборот, не помню). В этом пределе уравнения движения таких грузиков переходят в полевые уравнения (Клейна-Гордона). Нерелятивистские, вроде бы. Конь должен знать, он эту задачку решал.

Сообщение отредактировал inflaton - 19.2.2012, 20:48
Перейти в начало страницы
 
+Цитировать сообщение
inflaton
сообщение 19.2.2012, 20:40
Сообщение #766


Активный участник
***

Группа: Пользователи
Сообщений: 669
Регистрация: 1.12.2010
Из: Казань, Лондон
Пользователь №: 2260



Цитата(kis.gr.enakievo @ 19.2.2012, 19:31) *
Ну, теперь нужно выбрать время, чтобы спокойно и обстоятельно изложить соображения как можно проще и доступней. Ну, а потом можно будет и об "общефилософских проблемах" поговорить... blink.gif

Очень смешной вы. Эти функции являются решением уравнения Максвелла. И это легко проверить. И от это никуда не деться. Только если в параллельную Вселенную.

Тем не менее, интересно посмотреть на ваши возражения, а точнее на ваши непонимания. Ну и разобраться, само собой. Надеюсь "проще и доступней" не означает "рукомахательство и аналогии".
Перейти в начало страницы
 
+Цитировать сообщение
kis.gr.enakievo
сообщение 19.2.2012, 20:58
Сообщение #767


Участник
**

Группа: Пользователи
Сообщений: 55
Регистрация: 4.1.2012
Пользователь №: 5685



Цитата(inflaton @ 19.2.2012, 21:40) *
Очень смешной вы.
Посмотрим...
Перейти в начало страницы
 
+Цитировать сообщение
inflaton
сообщение 19.2.2012, 21:05
Сообщение #768


Активный участник
***

Группа: Пользователи
Сообщений: 669
Регистрация: 1.12.2010
Из: Казань, Лондон
Пользователь №: 2260



Цитата(kis.gr.enakievo @ 19.2.2012, 20:58) *
Посмотрим...

Вы так говорите, как будто сейчас изобретаете оружие массового поражения. smile.gif

Эти волновые уравнения работают в технике, начиная с радио Попова. Так что, имеет смысл понять, что происходит. Хотя, попытка опровержения тоже может вести к понимаю. на более глубоком уровне, чем просто вера. Конструктивная попытка, конечно. Я сам так часто делаю. Мол, "где-то меня автор учебника обманывает, дай-ка сам все посчитаю, как мне удобнее".
Перейти в начало страницы
 
+Цитировать сообщение
kis.gr.enakievo
сообщение 19.2.2012, 21:07
Сообщение #769


Участник
**

Группа: Пользователи
Сообщений: 55
Регистрация: 4.1.2012
Пользователь №: 5685



Цитата(inflaton @ 19.2.2012, 21:35) *
понятий кинетической и потенциальной энергий тоже нет в квантовой механике. Есть полная энергия.
Да неважно, какого вида энергия!... Важно то, отказываете ли Вы этой энергии в релятивистских условиях подчиняться закону сохранения, или нет! Вот "смешной вопрос"!
Перейти в начало страницы
 
+Цитировать сообщение
kis.gr.enakievo
сообщение 19.2.2012, 21:16
Сообщение #770


Участник
**

Группа: Пользователи
Сообщений: 55
Регистрация: 4.1.2012
Пользователь №: 5685



Цитата(inflaton @ 19.2.2012, 22:05) *
Эти волновые уравнения работают в технике, начиная с радио Попова.
Я разве против?
Цитата(inflaton)
Так что, имеет смысл понять, что происходит.
Именно!
Цитата(inflaton)
Хотя, попытка опровержения тоже может вести к понимаю. на более глубоком уровне, чем просто вера. Конструктивная попытка, конечно. Я сам так часто делаю. Мол, "где-то меня автор учебника обманывает, дай-ка сам все посчитаю, как мне удобнее".
Вот видите, как мы похожи! (Между прочим, в учебниках сам часто находил несуразности)
Давайте, не будем спешить "поукалывать". Дайте, соберусь с мыслями, найду время, изложу...
Перейти в начало страницы
 
+Цитировать сообщение
kis.gr.enakievo
сообщение 19.2.2012, 21:23
Сообщение #771


Участник
**

Группа: Пользователи
Сообщений: 55
Регистрация: 4.1.2012
Пользователь №: 5685



Цитата(inflaton @ 19.2.2012, 22:05) *
Вы так говорите, как будто сейчас изобретаете оружие массового поражения. smile.gif
Только не это...
Перейти в начало страницы
 
+Цитировать сообщение
inflaton
сообщение 19.2.2012, 21:27
Сообщение #772


Активный участник
***

Группа: Пользователи
Сообщений: 669
Регистрация: 1.12.2010
Из: Казань, Лондон
Пользователь №: 2260



Цитата(kis.gr.enakievo @ 19.2.2012, 21:07) *
Да неважно, какого вида энергия!... Важно то, отказываете ли Вы этой энергии в релятивистских условиях подчиняться закону сохранения, или нет! Вот "смешной вопрос"!

А где в формуле
E=cos(wt)
H=cos(wt)
нарушается закон сохранения?
Перейти в начало страницы
 
+Цитировать сообщение
kis.gr.enakievo
сообщение 19.2.2012, 22:29
Сообщение #773


Участник
**

Группа: Пользователи
Сообщений: 55
Регистрация: 4.1.2012
Пользователь №: 5685



Цитата(inflaton @ 19.2.2012, 22:27) *
А где в формуле
E=cos(wt)
H=cos(wt)
нарушается закон сохранения?
???
Неужели непонятно??? (Только не надо "считать по объему"...)
Потерпите, inflaton, ответить хочу не только Вам, но и каждому заинтересовавшемуся, кто и с математическими символами знаком не так плотно, как Вы. Надо над ответом поработать...
Перейти в начало страницы
 
+Цитировать сообщение
inflaton
сообщение 19.2.2012, 23:00
Сообщение #774


Активный участник
***

Группа: Пользователи
Сообщений: 669
Регистрация: 1.12.2010
Из: Казань, Лондон
Пользователь №: 2260



Я решил разобраться с грузиками на пружинке. И выяснилось, что там все не так просто, как вы говорите. И совсем неочевидно перетекание кинетической энергии в потенциальную.

Итак. Рассмотрим цепочку грузиков массы m, соединенных пружинами жесткостью k и длиной l, расположенную вдоль оси х. Согласно второму закону Ньютона на каждый i-ый грузик с координатой xi действуют силы справа и слева и они определяют его ускорение:

(1)

Кинетическая энергия Кi и потенциальная энергия Рi i-го грузика имеют соответственно следующий вид:
(2)

Не знаю как вам, а мне совершенно не очевидно из этих формул, что когда кин энергия минимальна, то пот энергия максимальна. Более того, так как при длине волны много больше l разность фаз между двумя соседними грузами мала, то потенциальная энергия каждого грузика будет маленькая. А кинетическая энергия будет вполне себе зависеть от точки.

И никакого нарушения закона сохранения тут нет. Поскольку либо полная энергия сохраняется, когда цепочка замкнута, например. Либо есть источник, который постоянно дергает грузик на конце (например, мальчик-хулиган).

Похоже на то, что данная система дает точные уравнения поля. Причем релятивистские. Почему так, понятия не имею, приведу вывод этого факта.

Во-первых, члены с k в уравнения (1) -- это ни что иное, как вторые производные на решетке
(3)

Теперь, если мы возьмем бесконечно жесткие пружины и заменим y=mi/k, то есть перейдем к непрерывной переменной, то получим уравнение Клейна-Гордона

Удивительно для меня тут то, что получилось релятивистское уравнение. Я не понимаю, почему это так.

Но давайте посчитаем плотность энергии и энергию для данного поля
(4)

Мы опять тут видим два члена -- артефакты кинетической и потенциальной энергии. Тут они такой роли не играют, поскольку время и координата у входят равноправно. Кроме того, это не является полной энергией! Это плотность энергии. Поскольку она зависит от точки y.

Более того, в формуле (2) энергия каждого данного грузика не обязана сохраняться! Поскольку грузик-то взаимодействует с соседями. А вот полная энергия -- это сумма
(5)
Здесь суммирование по i -- это аналог интегрирования по y в формуле (4).


И уже вообще невозможно сказать, что значит "кинетическая энергия цепочки" -- цепочка никуда не движется, что такое "потенциальная энергия цепочки" -- цепочка не находится ни в каком потенциальном поле. Это просто энергия цепочки. Которая может сохраняться, а может и нет, в зависимости от наличия мальчика-хулигана.

Как я уже не раз говорил: надо различать плотность энергии и энергию.

Сообщение отредактировал inflaton - 20.2.2012, 2:22
Перейти в начало страницы
 
+Цитировать сообщение
inflaton
сообщение 19.2.2012, 23:01
Сообщение #775


Активный участник
***

Группа: Пользователи
Сообщений: 669
Регистрация: 1.12.2010
Из: Казань, Лондон
Пользователь №: 2260



Цитата(kis.gr.enakievo @ 19.2.2012, 23:29) *
???
Неужели непонятно??? (Только не надо "считать по объему"...)
Потерпите, inflaton, ответить хочу не только Вам, но и каждому заинтересовавшемуся, кто и с математическими символами знаком не так плотно, как Вы. Надо над ответом поработать...

Нет непонятно! Напишите мне формулу энергии поля и докажите, что энергия зависит от времени на этих решениях.

Что значит "не надо считать по объему"? Энергия так и считается, вообще-то, что я уже пояснил на знакомой нам аналогии в предыдущем сообщении. Смотрите формулу (4) и формулу (5).

Вы хотите сказать, что полная энергия цепочки -- это энергия i-го грузика, а не сумма энергий всех грузиков? Довольно оригинально, скажем так.

Сообщение отредактировал inflaton - 20.2.2012, 2:18
Перейти в начало страницы
 
+Цитировать сообщение
kis.gr.enakievo
сообщение 20.2.2012, 8:42
Сообщение #776


Участник
**

Группа: Пользователи
Сообщений: 55
Регистрация: 4.1.2012
Пользователь №: 5685



Спешу принести свои извинения, уже ночью понял ошибку в своих представлениях... поторопился... (черт! сама торопливость, преждевременная уверенность в еще сырых и не до конца проверенных представлениях - уже ошибка... еще раз, мои извинения...)
Цитата
Вы хотите сказать, что полная энергия цепочки -- это энергия i-го грузика, а не сумма энергий всех грузиков?

Нет, так сказать - не хочу... Но... "цепочка"...? Она существует и сама по себе? Без явления возбуждения и переноса энергии? Но это же получается эфир, и его существование должно обнаруживаться, а СТО и ОТО оказываются под сомнением?
Перейти в начало страницы
 
+Цитировать сообщение
inflaton
сообщение 20.2.2012, 14:03
Сообщение #777


Активный участник
***

Группа: Пользователи
Сообщений: 669
Регистрация: 1.12.2010
Из: Казань, Лондон
Пользователь №: 2260



Цитата(kis.gr.enakievo @ 20.2.2012, 8:42) *
Нет, так сказать - не хочу... Но... "цепочка"...? Она существует и сама по себе? Без явления возбуждения и переноса энергии? Но это же получается эфир, и его существование должно обнаруживаться, а СТО и ОТО оказываются под сомнением?

Классический эфир, тот, относительно которого можно измерять абсолютную скорость, не существует. Это уже доказано.

Цепочка -- просто аналогия. Надо смотреть на уравнения поля. Вместо "энергия цепочки" говорить "энергия возбуждений".
Перейти в начало страницы
 
+Цитировать сообщение
metaphysic
сообщение 20.2.2012, 16:05
Сообщение #778


Активный участник
***

Группа: Пользователи
Сообщений: 379
Регистрация: 12.10.2009
Пользователь №: 1607



Цитата(Дмитрий64 @ 8.10.2011, 16:39) *
Начиная примерно с середины СВ-35, я всё ждал когда же СЕ назовёт конкретно, что же такое это такое тёмное-неизвестное, что управляет миром, наличие которого чувствовали многие учёные, но так и не смогли его найти. Но он так и не сказал. Хорошо подождём может в другой раз скажет. Времени-то у нас вагон.

П.С. А между тем это неизвестное-тёмное лет 15 назад открыто и описано. Но господа из РАН повесили на это открытие ярлык "Лженаука", а потому будем и дальше продолжать блуждать в трёх соснах. Нам же ведь торопиться не куда.

Цитата
Меня здесь уже не раз спрашивали (я о другом форуме), что, призывая строить коммунизм здесь и сейчас, имею ли я в виду какой–либо конкретный план, или это просто призывы к народному творчеству? Поскольку «творчество масс» молчит, позволю себе высказаться на этот счет. Чтобы быть по возможности убедительным, я изложу здесь некую доморощенную теорию коммунистической экономики, так что придется быть достаточно многословным.

Итак, что мы имеем? Все, кто ищет будущее России, в один голос взывают: «Даешь Проект!». Но когда они увидели, то, что является истинным проектом, они его не узнали. И причина этого заключается в одном — мировоззрение не позволяет. Я вас очень хорошо понимаю, в вы меня — нет. Я вас понимаю потому, что если бы я увидел подобную «белиберду» двадцать лет назад, я оппонировал бы ей точно так же, как и вы. Дело в том, что я, в силу своей профессии, был убежденным материалистом–атеистом. Но затем, в некоторый потрясающий момент моей жизни, я в ноль секунд стал человеком верующим, верующим в удивительную религию–философию, имя которой метафизика. Я вынужден опять вернуться к метафизике, понимая, что произойдет чудо, если хотя бы кто–то один из вас станет метафизиком.
Метафизику может принять только тот, кто всей душой осознает простой и совершенно неоспоримый научный факт — источником любого движения является Астрал. Астрал — это живая, активная Информация, Все приводящая в движение. Только в Астрале есть истинное движение, а видимое движение материи есть результат информационного воздействия на нее Астрала. Носителем астральной информации, является особый вид материи, почти не взаимодействующей с обычной косной материей физическим образом, но лишь информационно. Существование такой материи, из которой сотканы «ангелы» и наши бессмертные души, — тоже «медицинский факт». Фундаментальное отличие живой материи осознал еще Николай Кузанский. Косная материя это мир конечного, а живая материя это актуальная бесконечность (на языке физики — живая материя характеризуется актуально бесконечным числом степеней свободы). Это все бесспорное, что может сказать наука (эти ее слова называются копенгагенской трактовкой квантовой механики, короче ее можно назвать натурфилософией), а все остальное — это домыслы, но домыслы эти могут иметь лишь астральное происхождение, и процесс проникновения в сознание астральной информации, невыразимой человеческим языком, называется творчеством.
Таким образом, метафизика — это домыслы об устройстве Астрала. Например, представление об Астрале как о единой всевластной живой сущности — это семитский домысел. Индоевропейское представление об Астрале гораздо ближе, по моим ощущениям, к действительности — Астрал есть Социум. Адекватнее всего этот устройство этого социума проникло в сознание людей в виде великой мифологии, созданной древними греками. Христианство — это, в сущности, семитский догмат, оплодотворенный индоевропейским мироощущением.
Великим русским визионером–космистом является Лев Гумилев. То, что он осознал, есть ключ к пониманию социального устройства Астрала. Его этногенетический цикл (а, в сущности, цикл общеэволюционный) является отражением социальных процессов, происходящих в Астрале. Мне Астрал нашептал такую картину своего устройства. Астрал — это иерархическая социальная структура. Чем выше ее уровень, тем императивнее его информационное содержание. Чем выше статус астральных иерархов, тем лучше они знают смысл существования вселенной и ее Цель. Чем выше иерархическая ступень, тем меньше нижестоящие понимают соответствующий информационный язык, и императивы трактуются по принципу — «кто во что горазд». Каждое прочтение спускающихсяся свыше идей генерирует свою иерархическую структуру, эта структура вполне самостоятельна, она отключается от структур вышестоящих, и занимается реализацией в косной материи своего уже плана.
Таким образом, Астрал можно представлять себе в виде некоего фрактала, бесконечно расширяющегося и бесконечно углубляющегося, и в котором есть постоянное восхождение от низшего к высшему. Каждую пирамиду Астрала можно назвать фрактоном. На каком–то уровне астрального фрактала находятся наши души. Еще ниже обретаются души других представителей биосферы земли. Мы отличаемся от животных тем, что у нас революционным образом возникло сознание — некий «дисплей», позволяющий нашим душам гораздо увереннее управлять косной материей. У животных таким дисплеем является плохо понятливый хромосомный аппарат. Но и в этом случае новый вид начинается не с какой–то бессмысленной пробы–мутации, а с изменения поведения какого–то одного представителя данного вида (так учит своим обезьяньим примером Леонид Дмитриевич). Между различными астральными фрактонами ведется очень сложная игра за реализацию в реале своего плана.
Сущность эволюционного цикла Гумилева заключается в том, информация содержащаяся в идеях, принятых каким–либо фрактоном к реализации, является конечной и исчерпаемой. Эта исчерпаемость означает неизбежность смерти любого фрактона. Как рождается, развивается и умирает материальная реализация фрактонной цели, вы можете достаточно хорошо понять из книги Гумилева «Этногенез и биосфера». Присмотревшись, вы можете увидеть эволюционный миницикл в любом социальном движении. Но цикл этот может быть и гигантским.
Мы сейчас живем в конце великого цикла, который можно назвать Христианским. Он начался фанатичной пассионарностью раннего христианства и заканчивается исчезновением движущего социоэволюцией творчества, в постмодернистском обществе. Все, на что был способен христианский фрактон, он уже реализовал. Христианская цивилизация обречена, и смерть ее будет не бессмысленной только в том случае, если она сможет родить Наследника, зачатого вышестоящими иерархами. В качестве невесты они выбрали русский народ, и носимый ею эмбрион называется Русской идеей.
Рождение Ребенка очень болезненный процесс. Это связано с тем, что зов Астрала является в высшей степени императивным — он вселяет в людей огонь пассионарности. С другой стороны, язык этого призыва совершенно непонятен людям, в связи с чем пассионарность может вливаться в самые причудливые идеи, вступающие в непримиримую борьбу между собой. Эта борьба примет осмысленный характер только тогда, когда какому–либо сообществу (по Гумилеву — консорции) — в начале очень небольшому — удастся понять астральное послание достаточно близко к тому, что имел в виду Астрал. Это все! Ребенок родился, он непобедим, потому что с ним Бог — его Отец, и ему предначертано построить Новый мир.
Россия идет в будущее по своему пути, рыками поднимаясь по фрактонной лестнице. Каждая новая ступень требует рождения нового, и сопровождается болью, которая у нас называется смутой. Сейчас Россия опять переживает смуту, но эта смута совершенно особая, и в христианской традиции она называется Светопреставлением. Светопреставление — это конец христианской истории, рождение новой религии (religio–связь), и, соответственно, новой истории Нового мира. Пророки согласны в одном — в новом мире люди найдут язык, дающий им возможность сознательно общаться с божественным. По Марксу — это коммунизм, мир творчества, в котором царит Анархия, то есть мир, в котором отсутствует материальное воплощение власти. Если феодализм — это власть принуждения, капитализм — побуждения, то при коммунизме власть имеет форму убеждения. Властвовать там будут авторитархи, гениальные убедители. По свое значимости возникновение нового сознания можно сравнить только с возникновением у приматов сознания, знакомого каждому из нас.

Перейти в начало страницы
 
+Цитировать сообщение
inflaton
сообщение 20.2.2012, 16:08
Сообщение #779


Активный участник
***

Группа: Пользователи
Сообщений: 669
Регистрация: 1.12.2010
Из: Казань, Лондон
Пользователь №: 2260



А вот и весна наступила.
Перейти в начало страницы
 
+Цитировать сообщение
kis.gr.enakievo
сообщение 20.2.2012, 19:35
Сообщение #780


Участник
**

Группа: Пользователи
Сообщений: 55
Регистрация: 4.1.2012
Пользователь №: 5685



Цитата(inflaton @ 20.2.2012, 17:08) *
А вот и весна наступила.
Не в первый раз... biggrin.gif
Перейти в начало страницы
 
+Цитировать сообщение

46 страниц V  « < 37 38 39 40 41 > » 
Ответить в данную темуНачать новую тему

 



Текстовая версия Сейчас: 18.10.2025, 19:54